next up previous contents
Next: 呼吸・土壌有機物の分解 Up: モデルの構造 Previous: モデルの構造

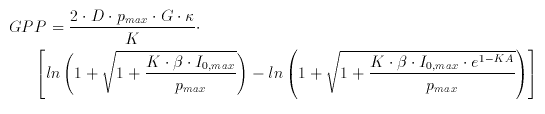
総一次生産量

総一次生産量(GPP)は oikawa (1985) モデ ルにならって以下の式により算出した。

  3KB 数式画像

(2.1)


記号 意味 (単位)
D 日長 (hr)
pmax 光飽和時の個葉の光合成速度 (Kg CO2/ha/hr)
G 成長期間 (days)
κ CO2から炭素換算重量への変換係数 (KgC/KgCO2)
K 群落の光の減衰係数
β 光-光合成係数の初期勾配 (Kg CO2/ha/hr/klux)
I0,max 南中時の群落外の水平面光強度 (klux)
A 葉面積指数 (ha/ha)

2.1は気温・降水量・CO2濃度を 変数として持っていないため、 それぞれの変動に対しての補正を行なった。気温と降水量に関しては Lieth(1972)の気温・降水量から純一次生産 を推定する式を参考にし た(式2.2, 2.3)。Lieth の式は純一次生産を気温あるいは 降水量のみから推定する式であるが、これらの式によって描かれるグラフのカー ブは総一次生産に対しても同じように適用できるものと仮定し、 赤道 〜 北緯 30°の緯度帯での年間平均気温・降水量がそれぞれ 24℃, 80 mm である(気象パラメータ参照)ので、その値の時に補正項が 1 となるようにした(図2.2,2.3)。

  1KB 数式画像

(2.2)


  1KB 数式画像

(2.3)


5KB GIF image
図2.2: 気温による相対総一次生産速度のグラフ。月平均気温が 24Cの時に相対値 1

5KB GIF image
図2.3: 降水量による相対総一次生産速度のグラフ。降水量が 80 mm/月 の時に相対値 1

CO2濃度に関しては、Terrestrial Ecosystem Model (McGuire et al. 1993)による式 2.4を用いた。この式は CO2 濃度が 400 ppmv の時に飽和相対総一次生産の半分になり、CO2 濃度が 340 ppmv から 680 ppmv に倍増した時に 37 % 総一次生産が増加するという関係式である。式2.1は CO2 濃度を 300 ppmv に固定しているので、300 ppmv の時に相対値が 1 になるよう にし、式2.4のように補正項を設定した(図3.1)。

  1KB 数式画像

(2.4)


5KB GIF image
図2.4: CO2 濃度による相対総一次生産速度のグラフ。300 ppm の時に相対値が 1



Yoshihiko OHTA
1998年1月21日